




数学天堂不止是数学学习的工具,更是一种独特的思维模式,它着力培养使用者的逻辑推理能力、抽象思维能力与问题解决能力。作为一款面向数学学习、教育以及科研领域打造的综合性应用,数学天堂整合了海量的数学工具与教育资源,致力于协助用户深度剖析从中学阶段到大学阶段,乃至科研工作中遇到的各类数学问题,同时为用户提供高效且便捷的解决途径。
符号计算功能:可对各类方程式开展符号化运算,从而获取精准的解析形式的解。
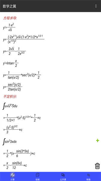
方程求解功能能够对各类方程式进行求解,给出精准的答案,并且兼容多种不同类型的方程。
高等代数计算具备极限求值、求导数、定积分求值等高级数学功能,可快速求解微分方程与不定积分方程。
线性代数板块具备行列式求值、矩阵计算等功能,能够协助用户顺利完成各类线性代数运算。
二维与三维曲线绘制功能:可实现多种参数方程形式的绘制,能支持在直角坐标系和极坐标系下完成二维、三维曲线的绘制工作。
几何图形绘制功能:能够借助触控操作与命令行两种方式,完成平面几何图形以及立体几何图形的绘制,同时还可以对多种几何体进行相关计算。
精确计算格式要求:遵循数学领域的传统定义格式来开展计算的输入与输出工作,以此保障计算过程的准确性以及呈现形式的标准化。
实数与复数运算:能够进行复杂的实数和复数科学计算,可满足高等数学运算方面的需求。
变量操作:具备变量赋值、查询以及代入计算等功能,能够助力实现动态求解。
多类型数值支持:可对常量、变量、序列变量、数组、坐标等数值类型进行定义与计算。
结果保存与共享:能够对计算和绘制的内容进行保存,同时提供截屏和共享功能,方便用户留存与分享相关结果。
几何体的计算工作:对常见几何体及其各类变体进行定义与绘制操作,并开展长度、面积、体积等方面的相关计算。
几何体变换功能:可对坐标系中的几何体执行平移、旋转等操作,从而完成相应的几何变换过程。
数制与单位转换:具备全面的数制及单位转换能力,能满足不同数学领域的使用需求。
高级编程语言特性:整合高级语言功能,达成变量类型的自动化处理,提高编程效率。
数学很实用:不管是调表、购物、测量,还是分类统计,数学都能轻松派上用场。
数与运算模块:具备精准的数字描摹、清点数数、计算比较等基础功能,助力用户更轻松地理解数与运算的概念并完成相关操作。
数学公式推导:让复杂的数学公式不再停留在理论层面,用手机就能轻松完成推导与计算。
图形几何处理:具备图形识别、拼割与组合等功能,能让用户更直观地掌握几何概念。
“数学天堂”是一款功能全面且强大的数学工具,它除了具备高效的公式编辑能力外,还涵盖了自动识别计算意图、展示分步计算流程、绘制各类图形等丰富功能,同时融合了数值计算、代数运算与图形处理的多重优势。借助这款应用,用户能够轻松应对复杂的数学难题,并且可以使用注释、保存以及分享等实用功能。由于操作便捷、计算精准,“数学天堂”收获了众多用户的认可与好评。